查看: 139|回复: 0

[泸州城事] 开工啦!泸州上百家单位招人,还有军队文职招考

[复制链接]

121

主题

0

回帖

139

积分

沱江萌新

积分
139
发表于 2025-12-5 17:06:28 | 显示全部楼层 |阅读模式
来源: 大听网


新的一年,开工大吉!

@找工作的你
泸州市2024年“春风行动”大型招聘会来了
拿上你的简历赶紧看过来
d1.webp
组织单位
主办单位:
泸州市人力资源和社会保障局
泸州市交通运输局
泸州市农业农村局
泸州市卫生健康委员会
泸州市乡村振兴局
泸州市总工会
共青团泸州市委
泸州市妇女联合会
泸州市残疾人联合会
泸州市退役军人事务局
江阳区人民政府
承办单位:
泸州市就业服务管理局
泸州市人才服务中心
江阳区人力资源和社会保障局
协办单位:
重庆市江津区人力资源和社会保障局
重庆市永川区人力资源和社会保障局
云南省昭通市人力资源和社会保障局
d2.gif
你关注的招聘会信息在这里
d3.gif
活动主题
d4.gif
春风送岗促就业 精准服务助发展
d5.gif
活动时间
d6.gif
2月20日(农历正月十一)
星期二
招聘会:9:00-17:00
d7.gif
活动地点
d8.gif
泸州市江阳区华升南路佳记酒广场
佳记酒广场
四川省泸州市江阳区华升南路与丽景路交叉口北140米
d9.gif
活动内容
d10.gif
1、现场招聘区:上百家用人单位现场招聘。
2、政策咨询区:就业创业、劳动保障等政策宣传。
3、职业指导咨询区:职业指导专家现场开展职业指导服务,为求职者答疑解惑。
4、直播带岗区:泸州市2024年“春风行动”启动仪式现场直播,企业HR直播带岗,招聘会现场采访,专家在线职业指导。
d11.webp
现场招聘岗位速看↓
d12.webp
d13.webp
d14.webp
d15.webp
d16.webp
d17.webp
d18.webp
d19.webp
d20.webp
d21.webp
另外还有直播招聘企业
四川恒力智能纺织科技有限公司
重庆亚润新胜大数据科技有限公司
泸州中酿酒业有限公司
四川圣融达容阻科技有限公司
四川麻辣空间餐饮管理有限公司
……
d22.webp
扫码进入直播间
了解招聘信息
除了泸州这些企业招人
中央军委后勤保障部
也公开招考专业技能岗位文职人员
报名时间为
2月20日8:00至2月25日18:00

d23.webp
点击图片或文末阅读原文查看公告详情↑

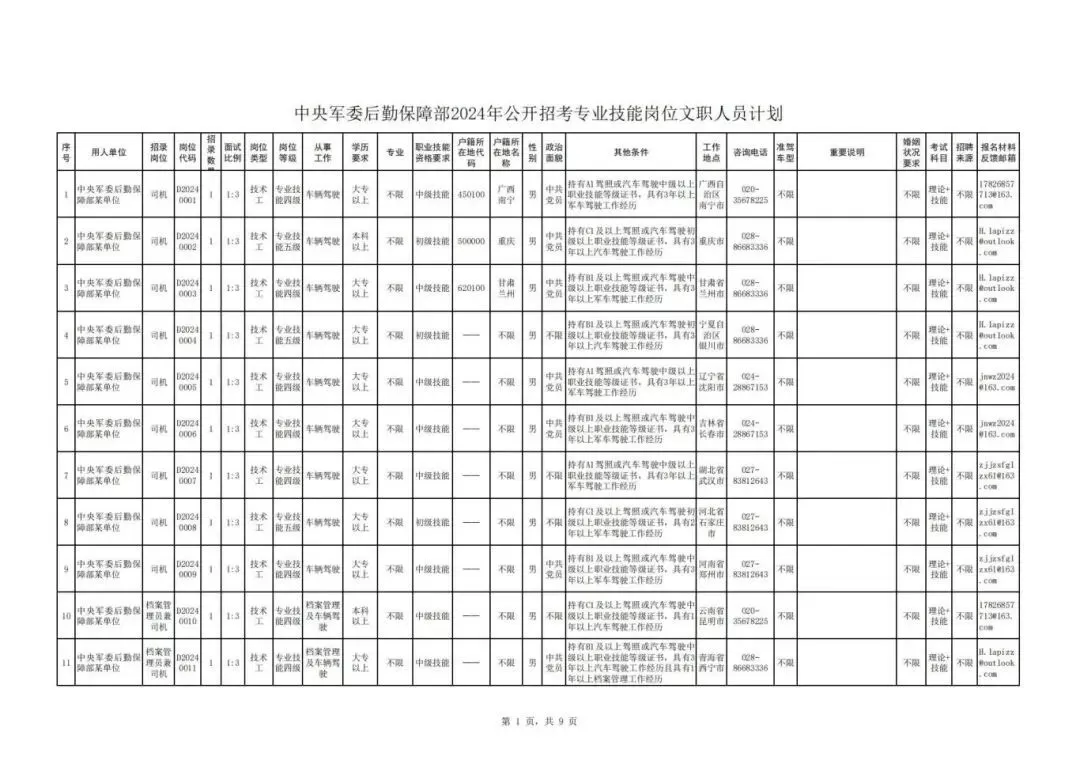
中央军委后勤保障部
2024年公开招考专业技能岗位文职人员计划

d24.webp
d25.webp
d26.webp
d27.webp
d28.webp
d29.webp
d30.webp
d31.webp
d32.webp
新的一年

祝你好运连连,开工大吉
我们一起加油!
免责声明:本文由网友发表或转载,不代表大泸州的观点和立场,不对其真实合法性负责.如有异议或侵权,请与本网站联系删除!
回复

使用道具 举报

您需要登录后才可以回帖 登录 | 立即注册

本版积分规则

QQ|手机版|小黑屋|泸州论坛 ( 蜀ICP备12031032号-8 )|网站地图川公网安备 51030002000200号

GMT+8, 2026-2-20 00:12 , Processed in 0.046234 second(s), 5 queries , Redis On.

Powered by Discuz! X3.5

© 2016-2021 Comsenz Inc.

快速回复 返回顶部 返回列表